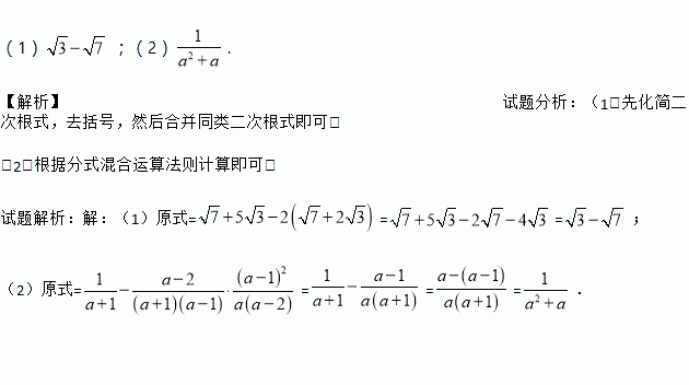
题目内容
计算:(1) (2)
如右图,如图,把一张长方形纸片沿EF折叠后,点D、C分别落在D′、C′的位置,若∠AED′=50°,则∠D′EF等于(?)
A. 50° B. 55° C. 60° D. 65°
如图,函数y=?x的图象与函数y=?的图象相交于A,B两点,过A,B两点分别作y轴的垂线,垂足分别为点C,D,则四边形ACBD的面积为 .
一元二次方程的根的情况是( )
A. 有两个不相等的实根 B. 有两个相等的实根
C. 无实数根 D. 不能确定
把一堆花生分给一群猴子,如果每只猴子分3颗,就剩8颗;如果每只猴子分5颗,那么最后一只猴子分到的花生不足5颗。求猴子有多少只,花生有多少颗?(列不等式解答)
如图,∠A=50°,∠ABO=28°,∠ACO=32°,则∠BOC=______°.
不等式组的解集在数轴上表示为( )
A. B. C. D.
若关于是关于的方程的解,则关于的方程的解为__________.
若足球质量与标准质量相比,超出部分记作正数,不足部分记作负数,则在下面4个足球中,质量最接近标准的是()