题目内容
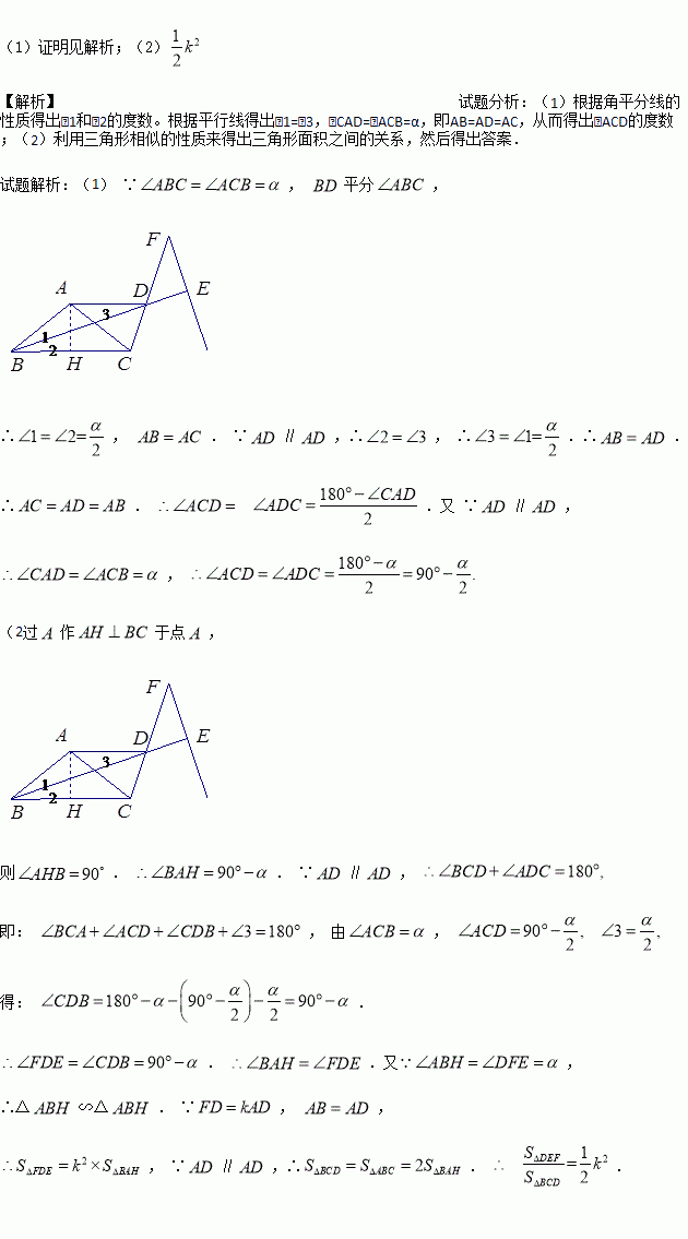
如本题图①,在△ABC中,已知
. 过点A作BC的平行线与∠ABC的平分线交于点D,连接CD.
(1)求
的大小;
(2)在线段
的延长线上取一点
,以
为角的一边作
,另一边交BD延长线于点E, 若
(如本题图②所示),试求
的值(用含
的代数式表示).
![]()
练习册系列答案
相关题目
题目内容
如本题图①,在△ABC中,已知
. 过点A作BC的平行线与∠ABC的平分线交于点D,连接CD.
(1)求
的大小;
(2)在线段
的延长线上取一点
,以
为角的一边作
,另一边交BD延长线于点E, 若
(如本题图②所示),试求
的值(用含
的代数式表示).
![]()