题目内容

为建设资源节约型、环境友好型社会,克服因干旱而造成的电力紧张困难,切实做好节能减排工作.某地决定对居民家庭用电实行“阶梯电价”,电力公司规定:居民家庭每月用电量在80千瓦时以下(含80千瓦时,1千瓦时俗称1度)时,实行“基本电价”;当居民家庭月用电量超过80千瓦时时,超过部分实行“提高电价”.

(1)小张家今年2月份用电100千瓦时,上缴电费68元;5月份用电120千瓦时,上缴电费88元.求“基本电价”和“提高电价”分别为多少元/千瓦时;

(2)若6月份小张家预计用电130千瓦时,请预算小张家6月份应上缴的电费.

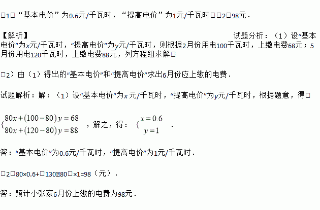
(1)“基本电价”为0.6元/千瓦时,“提高电价”为1元/千瓦时;(2)98元. 【解析】试题分析:(1)设“基本电价”为x元/千瓦时,“提高电价”为y元/千瓦时,则根据2月份用电100千瓦时,上缴电费68元;5月份用电120千瓦时,上缴电费88元,列方程组求解; (2)由(1)得出的“基本电价”和“提高电价”求出6月份应上缴的电费. 试题解析:【解析】 (1)设“基本电价”为...
练习册系列答案
相关题目

违法和不良信息举报电话:027-86699610 举报邮箱:58377363@163.com

精英家教网