题目内容
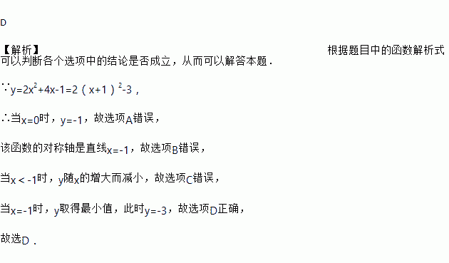
关于二次函数,下列说法正确的是( )
A. 图像与轴的交点坐标为 B. 图像的对称轴在轴的右侧
C. 当时,的值随值的增大而减小 D. 的最小值为-3
如图,在△ABC中,BD和CE是△ABC的两条高线,若∠A=65°,则∠1+∠2的度数为____.
某招聘考试分笔试和面试两种,其中笔试按60%、面试按40%计算加权平均数,作为总成绩.孔明笔试成绩90分,面试成绩85分,那么孔明的总成绩是 分.
汉代数学家赵爽在注解《周髀算经》时给出的“赵爽弦图”是我国古代数学的瑰宝.如图所示的弦图中,四个直角三角形都是全等的,它们的两直角边之比均为,现随机向该图形内掷一枚小针,则针尖落在阴影区域的概率为__________.
(1).
(2)化简.
下列计算正确的是( )
A. B.
C. D.
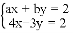
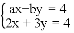
已知方程组与的解相同,试求a+b的值.
如图,在Rt△ABC中,∠A=90°,点D,E分别在AC,BC上,且CD·BC=AC·CE,以E为圆心,DE长为半径作圆,⊙E经过点B,与AB,BC分别交于点F,G.
(1)求证:AC是⊙E的切线;
(2)若AF=4,CG=5,
①求⊙E的半径;
②若Rt△ABC的内切圆圆心为I,则IE= .
已知正比例函数y=(m﹣1)的图象在第二、四象限,求m的值.