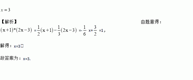
题目内容
定义一种新运算: ,则方程: 的解是______.
已知:如图,Rt△ABC中,∠BAC=90,AB=AC,D是BC的中点,AE=BF.
求证:(1)DE =DF;
(2)若BC =8,求四边形AFDE的面积.
如图所示,已知线段AB和CD的公共部分,而线段AB,CD的中点E、F之间的距离为10cm,求线段AB和线段CD的长度。
若∠β=25°31',则∠β的余角等于( )
A. 64°29' B. 64°69' C. 154°29' D. 154°69'
先化简,再求值:
(1)求代数式的值,其中a,b满足.
(2)已知,求代数式的值.
运动会上,七年级(1)班的小王、小张、小李三人一起进行百米赛跑(假定三人均为匀速直线运动).如果当小李到达终点时,小张距终点还有4米,小王距终点还有12米.那么当小张到达终点时,小王距终点还有几米?
A. 8米 B. 米 C. 6米 D.
2017年11月14日上午,中央文明委发布第五届全国文明城市名单,湖州市、长兴县榜上有名,短短半年时间,城中村完成拆迁改造382.4万平方米,建设项目遗留问题清零全面完成,用科学计数法表示382.4万平方米应表示为( )
A. 382.4×104 B. 0.3824×107 C. 3.824×106 D. 3.824×105
下列方程一定是关于x的一元二次方程的是( )
A. ax2+bx+c=0 B. m2x+5m+6=0
C. x3-x-1=0 D. (k2+3)x2+2x-=0
如图, 中, 、的平分线相交于, 过点且与平行. 的周长为, 的周长为,则的长为( ).
A. B. C. D.