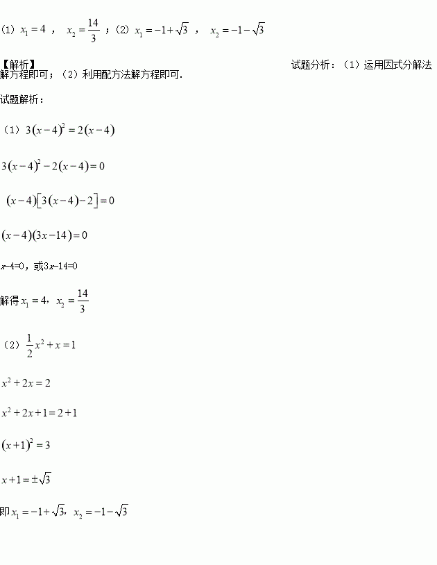
题目内容
请选择适当的方法解下列一元二次方程:
(1) ;
(2) .
的倒数是( )
A. B. C. D.
2016年我市经济依然保持了平稳增长。据统计,截止到今年4月底,我市金融机构存款余额约为1193亿元,用科学计数法应记为_____________元
如图,在△ABC中,AB=AC=13厘米,BC=10厘米,AD⊥BC于点D,动点P从点A出发以每秒1厘米的速度在线段AD上向终点D运动,设动点运动时间为t秒.
(1)求AD的长;
(2)当P、C两点的距离为时,求t的值;
(3)动点M从点C出发以每秒2厘米的速度在射线CB上运动.点M与点P同时出发,且当点P运动到终点D时,点M也停止运动.是否存在t值,使得?若存在,请求出t的值;若不存在,请说明理由.
备用图
如果关于x的一元二次方程的两根分别为,,那么这个一元二次方程是______.
下列计算正确的是()
小明同学根据全班同学的血型绘制了如图所示的扇形统计图,已知A型血的有20人,则O型血的有__________人.