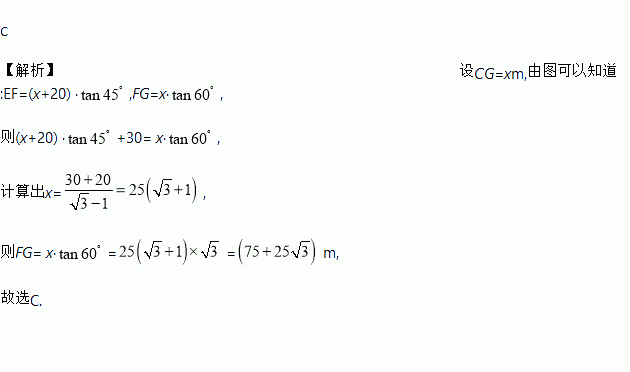
题目内容

如图,某高楼顶部有一信号发射塔,在矩形建筑物ABCD的A,C两点测得该塔顶端F的仰角分别为45°和60°,矩形建筑物宽度AD=20 m,高度DC=30 m,则信号发射塔顶端到地面的高度(即FG的长)为( )

A. (35+55)m B. (25+45)m C. (25+75)m D. (50+20)m

C 【解析】设CG=xm,由图可以知道:EF=(x+20) ·,FG=x·, 则(x+20) ·+30= x·, 计算出x=, 则FG= x·==m, 故选C.
练习册系列答案
相关题目

如图,已知抛物线与x轴的一个交点A(1,0),对称轴是x= -1,则该抛物线与x轴的另一交点坐标是(  )

A. (-3,0) B. (-2,0) C. x= -3 D. x= -2

A 【解析】抛物线与x轴的另一交点为B(b,0), ∵抛物线与x轴的一个交点A(1,0),对称轴是x=-1,∴=-1, 解得b=-3,∴B(-3,0).

下列图形中,不一定是轴对称图形的是( )

A. 三角形 B. 射线 C. 角 D. 相交的两条直线

A 【解析】题中给出的四个选项中,射线以其所在直线为对称轴,角以其角平分线所在直线为对称轴,相交的两条直线以其夹角的平分线所在直线为对称轴. 故选:A.

如图所示,A,B两地之间有一座山,汽车原来从A地到B地需要经C地沿折线A—C—B行驶,现开通隧道后,汽车直接沿直线AB行驶.已知AC=10 km,∠A=30°,∠B=45°,则隧道开通后,汽车从A地到B地比原来少走多少千米?(结果精确到0.1 km,参考数据: ≈1.41, ≈1.73)

隧道开通后,汽车从A地到B地比原来少走约3.4 km 【解析】试题分析:过点C作AB的垂线CD,垂足为D,在直角△ACD和直角△CBD中,解直角三角形求出CD,AD,BC,就可以得到结论. 试题解析:过点C作AB的垂线CD,垂足为D. ∵AC=10km,∠A=30°, ∴CD=AC=5(km). AD==5(km). 在Rt△CDB中, ∵∠B=45°, ...

如图,小山顶上有一信号塔AB,山坡BC的倾角为30°,现为了测量塔高AB,测量人员选择山脚C处为一测量点,测得塔顶仰角为45°,然后顺山坡向上行走100米到达E处,再测得塔顶仰角为60°,求塔高AB.(结果保留整数

塔高AB大约为58米 【解析】【解析】 依题意可得:∠AEB=30°,∠ACE=15°, 又∵∠AEB=∠ACE+∠CAE,∴∠CAE=15°。 ∴△ACE为等腰三角形。∴AE=CE=100米。 在Rt△AEF中,∠AEF=60°,∴EF=AEcos60°=50(米),AF=AEsin60°=50(米)。 在Rt△BEF中,∠BEF=30°,∴BF=EFtan30°...

已知:如图,直线y=3x+3与x轴交于C点,与y轴交于A点,B点在x轴上,△OAB是等腰直角三角形.

(1)求过A、B、C三点的抛物线的解析式;

(2)若P点是抛物线上的动点,且在第一象限,那么△PAB是否有最大面积?若有,求出此时P点的坐标和△PAB的最大面积;若没有,请说明理由.

(1)y= -x2+2x+3(2)存在,() 【解析】试题分析:(1)求得直线y=3x+3与坐标轴的两交点坐标,然后根据OB=OA即可求得点B的坐标,然后利用待定系数法求得经过A、B、C三点的抛物线的解析式即可; (2)首先利用待定系数法求得直线AB的解析式,然后根据CD∥AB得到两直线的k值相等,根据直线CD经过点C求得直线CD的解析式,然后求得直线CD和抛物线的交点坐标即可; ...

违法和不良信息举报电话:027-86699610 举报邮箱:58377363@163.com

精英家教网