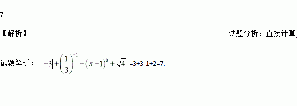
题目内容
计算: .
已知,则 = _________ .
函数y= (k>0)的图象上两点A(x1, y1)和B(x2, y2),且x1>x2>0,分别过A、B向x轴作AA1⊥x轴于A1,BB1⊥x轴于B1,则_________ (填“>”“=”或“<”),若=2,则函数解析式为_________.
已知反比例函数的图象上两点A(x1,y1),B(x2,y2),当x1<0<x2时,有y1<y2,则m的取值范围是 ( )
A. m>0 B. m> C. m<0 D. m<
如图1,线段=12厘米,动点从点出发向点运动,动点从点出发向点
运动,两点同时出发,到达各自的终点后停止运动.已知动点运动的速度是动点运动的速度的2倍.设两点之间的距离为 (厘米),动点的运动时间为 (秒),图2表示与之间的函数关系.
(1)求动点、运动的速度;
(2)图2中, = , = , = ;
(3)当时,求与之间的函数关系式(即线段对应的函数关系式).
如图, 、、、是⊙上的四点, 是弧的中点, 交于点 ,那么= __________°.
若,化简的结果为
A. 3 B. -3 C. D.
如图,正方形ABCD边长为3,连接AC,AE平分∠CAD,交BC的延长线于点E,FA⊥AE,交CB延长线于点F,则EF的长为__________.
如图,在?ABCD中,BF平分∠ABC,交AD于点F,CE平分∠BCD,交AD于点E,若AB=6,EF=2,则BC的长为( )
A. 8 B. 10 C. 12 D. 14