题目内容
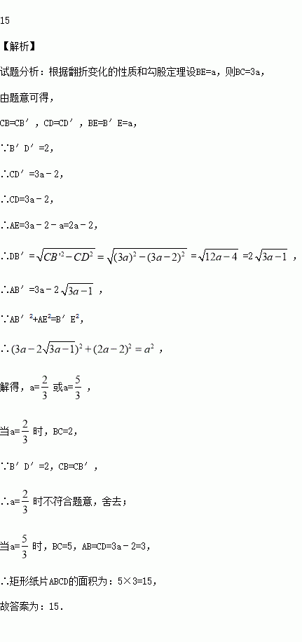
如图,将一张矩形纸片的边斜着向边对折,使点落在上,记为,折痕为;再将边斜向下对折,使点落在上,记为,折痕为,,.则矩形纸片的面积为 .
如图,有一个边长不定的正方形,它的两个相对的顶点分别在边长为1的正六边形一组平行的对边上,另外两个顶点在正六边形内部(包括边界),则正方形边长的取值范围是 .
一次函数的图象经过点,且与反比例函数的图象
交于点
(1)求一次函数的解析式;
(2)将直线向上平移10个单位后得到直线:与反比例函数的图象相交,求使成立的的取值范围.
已知点与点关于原点对称,则的值为( )
A. B. C. D.
工人师傅用一块长为10,宽为6的矩形铁皮制作一个无盖的长方体容器,需要将四角各裁掉一个正方形,(厚度不计)
(1)在图中画出裁剪示意图,用实线表示裁剪线,虚线表示折痕;并求长方体底面面积为时,裁掉的正方形边长多大?
(2)若要求制作的长方体的底面长不大于底面宽的五倍,并将容器进行防锈处理,侧面每平方分米的费用为0.5元,底面每平方分米的费用为2元,裁掉的正方形边长多大时,总费用最低,最低为多少?
计算: = .
如图,,,则与满足( )A. B.
C. D.
一个多边形的边数每增加一条,这个多边形的( )
A. 内角和增加 180° B. 外角和增加 360°
C. 对角线增加一条 D. 内角和增加360°
在下列二次函数中,其图象的对称轴为直线x=-2的是( )
A. y=(x+2)2 B. y=2x2-2
C. y=-2x2-2 D. y=2(x-2)2