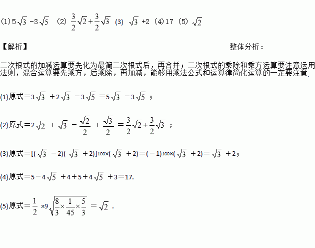
题目内容
计算:
(1)
+
-
(2)
+3
-
+
;
(3)(
-2)100×(
+2)101 (4)(
-2)2+(
+1)(
+3).
(5)
×9
÷
.
练习册系列答案
相关题目
某校组织学生到距学校6 km的光明科技馆参观.王红准备乘出租车去科技馆,出租车的收费标准如下表:
里程数 | 收费/元 |
3 km以下(含3 km) | 8.00 |
3 km以上每增加1 km | 1.80 |
则收费y(元)与出租车行驶里程数x(km)(x≥3)之间的关系式为( )
A. y=8x B. y=1.8x C. y=8+1.8x D. y=2.6+1.8x