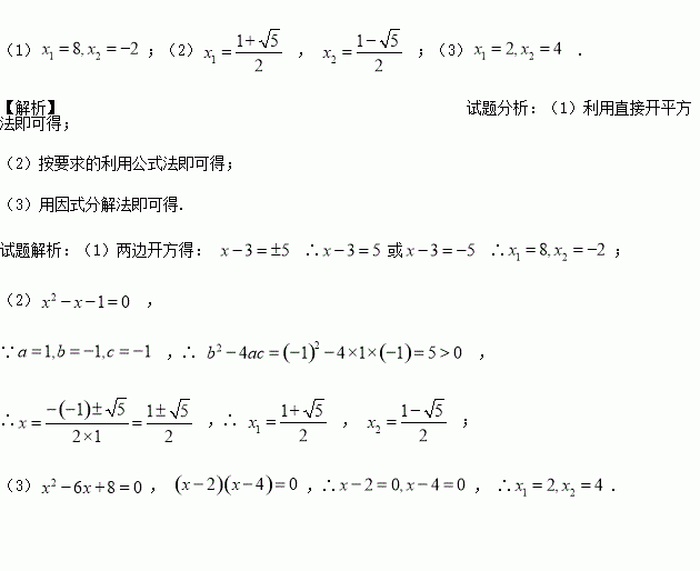
题目内容
解方程:
(1) (2) (公式法) (3)
﹣的倒数是( )
A. 2016 B. ﹣2016 C. ﹣ D.
如果两个数的和是10,其中一个数用字母x表示,那么表示这两个数的积的代数式是( )
A. 10x B. x (10+x) C. x (10-x) D. x (x-10)
某工厂有一种产品现在的年产量是20万件,计划今后两年增加产量,如果每年都比上一年的产量增加x倍,那么两年后这种产品的产量y将随计划所定的x的值而确定,那么y与x之间的关系应表示为_____.
现给出下列四个命题:
①等边三角形既是轴对称图形,又是中心对称图形;②相似三角形的面积比等于它们的相似比;
③菱形的面积等于两条对角线的积;④三角形的三个内角中至少有一内角不小于60°.
其中不正确的命题的个数是( )
A. 1个 B. 2个 C. 3个 D. 4个
方程是关于的一元二次方程,则的值是_______.
下列命题是假命题的是( )
A. 对角线相等、垂直的平行四边形是正方形 B. 对角线相等的平行四边形是矩形
C. 对角线垂直的四边形是菱形 D. 对角线互相平分的四边形是平行四边形
我国已于2016年发射天宫二号空间实验室,并发射神舟十一号载人飞船和天舟一号货运飞船,与天宫二号交会对接,为了增强学生的航空航天知识,学校举行航空航天知识竞赛,共30道题,规定答对一道题得4分,答错一道题扣1分,不答得0分。在这次竞赛中,小明有3道题未答,但他仍获得优秀(90分或90分以上),则小明至少答对了几道题?
已知多项式是关于的二次三项式,求的值.