题目内容
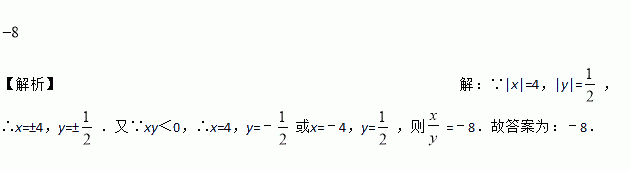
已知, ,且,则的值等于_________.
| x-2 |+3=4,下列说法正确的是( )
A. 解为3 B. 解为1 C. 其解为1或3 D. 以上答案都不对
计算
(1)
(2)
下面给出的四条数轴中画得正确的是( )
A. B.
C. D.
当a, 时,求多项式3(a2-2ab)-[3a2-2b+2(ab+b)]的值.
如图的几何体,左视图是 ( )
A. B. C. D.
已知某商场打7折后的价格为a元,则原价为( )
A. 70%a 元 B. 元 C. 30%a元 D. 元
抛物线y=x2-2x+1的对称轴是( )
A. 直线x=1 B. 直线x=-1 C. 直线x=2 D. 直线x=-2
如果一个四边形的某个顶点到其他三个顶点的距离相等,我们把这个四边形叫做等距四边形,这个顶点叫做这个四边形的等距点.如图,已知梯形ABCD是等距四边形,AB∥CD,点B是等距点.若BC=10,cosA=,则CD的长等于_____.