题目内容
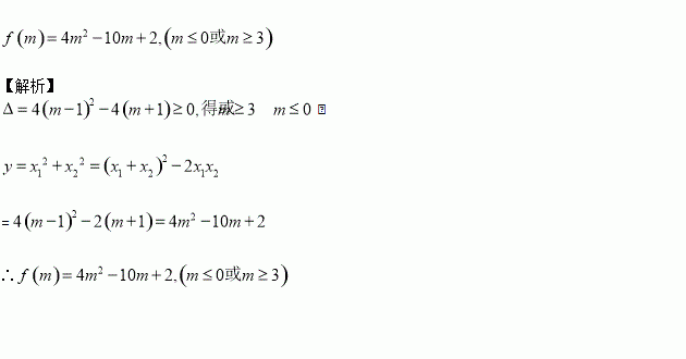
是关于的一元二次方程的两个实根,又,
求的解析式及此函数的定义域
如图,在△ABC中,∠B=55°,∠C=30°,分别以点A和点C为圆心,大于AC的长为半径画弧,两弧相交于点M,N,作直线MN,交BC于点D,连接AD,则∠BAD的度数为( )
A. 65° B. 60° C. 55° D. 45°
已知 |a| = 3,|b| = 2,则a+b的值为______________________.
关于x的方程有实数解,则m需满足______________.
二次函数 的顶点坐标为( )
A. (, ) B. (2,1) C. (2, ) D. (,1)
若二次函数的图象与x轴交于,且函数的最大值为,
则这个二次函数的表达式是_____________
函数的图象与直线的公共点数目是()
A. 1 B. 0 C. 0或1 D. 1或2
比较大小:①-50 0;② .(在横线上填“<”或“>”)
如图,已知AC=DB,再添加一个适当的条件_______,使△ABC≌△DCB.
(只需填写满足要求的一个条件即可).