题目内容

阅读材料:如果x1,x2是一元二次方程ax2+bx+c=0的两根,那么有x1+x2=-,x1x2=.这是一元二次方程根与系数的关系,我们利用它可以用来解题,例x1,x2是方程x2+6x-3=0的两根,求x12+x22的值.解法可以这样:∵x1+x2=6,x1x2=-3则x12+x22=(x1+x22-2x1x2(-6)2-2×(-3)=42.
请你根据以上解法解答下题:已知x1,x2是方程x2-4x+2=0的两根,求:
(1)的值;
(2)(x1-x22的值.
【答案】分析:根据一元二次方程ax2+bx+c=0的根与系数关系即韦达定理可得x1+x2=4,x1x2==2,把代数式变形成与两根之和和两根之积有关的式子,代入两根之和与两根之积,求得代数式的值.
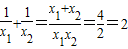
解答:解:∵x1+x2=4,x1x2=2.
(1)

(2)(x1-x22=(x1+x22-4x1x2=42-4×2=8.
点评:本题考查一元二次方程ax2+bx+c=0的根与系数关系即韦达定理,两根之和是,两根之积是
练习册系列答案
相关题目

违法和不良信息举报电话:027-86699610 举报邮箱:58377363@163.com

精英家教网