题目内容
计算:
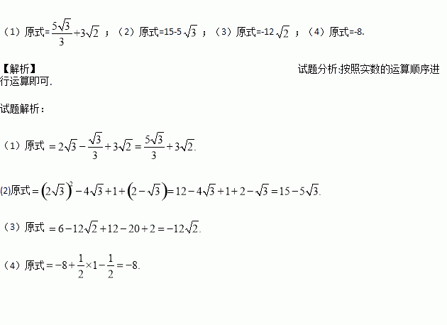
(1)—+ (2)
(3). (4)(-2)3+(2004-)0-|-|
如图,在中, , ,将绕点顺时针旋转,得到,连接,交于点,则与的周长之和为____ .
如图所示,向一个半径为R、容积为V的球形容器内注水,则能够反映容器内水的体积y与容器内水深x间的函数关系的图象可能是( )
A. B. C. D.
若抛物线y=x2-2x-3与x轴分别交于A,B两点,则AB的长为 ______.
我国是一个严重缺水的国家.为了加强公民的节水意识,某市制定了如下用水收费标准:每户每月的用水不超过6吨时,水价为每吨2元,超过6吨时,超过的部分按每吨3元收费.该市某户居民5月份用水x吨,应交水费y元.
(1)若0<x≤6,请写出y与x的函数关系式.
(2)若x>6,请写出y与x的函数关系式.
(3)如果该户居民这个月交水费27元,那么这个月该户用了多少吨水?
如图,将正方形OABC放在平面直角坐标系中,O是原点,A的坐标为(1, ),则点C的坐标为( )
A. (﹣,1) B. (﹣1, ) C. (,1) D. (﹣,﹣1)
若点P在第二象限内,点P到x轴的距离是5,到y轴的距离是2,则点P的坐标为( )
A. (-5,2) B. (-5,-2) C. (-2,5) D. (-2,-5)
如图,BO平分∠ABC,CO平分∠ACB,BO=CO,若∠BOC=100°,那么∠BAO 等于( )
A. 10° B. 20° C. 30° D. 40°
(2016·厦门中考)已知点P(m,n)在抛物线y=ax2-x-a上,当m≥-1时,总有n≤1成立,则a的取值范围是____________.