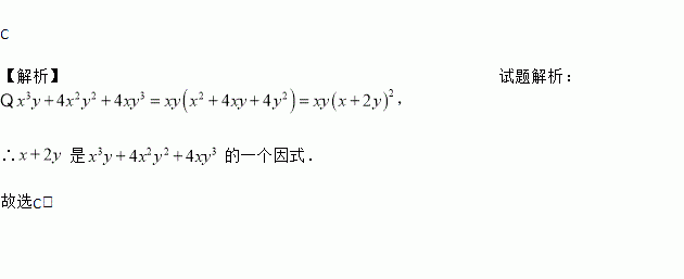
题目内容
下列各式中,代数式( )是x3y+4x2y2+4xy3的一个因式.
A. x2y2 B. x+y C. x+2y D. x﹣y
如图,数轴上表示的不等式的解为__________.
如图,△ABC中,AB=5,BC=3,AC=4,以点C为圆心的圆与AB相切,则⊙C的半径为( )
A. 2.3 B. 2.4 C. 2.5 D. 2.6
已知a+=3,则a2+的值是_____.
若在△ABC中,∠ABC的平分线交AC于D,BC=AB+AD,∠C=30°,则∠B的度数为( )
A. 45° B. 60° C. 75° D. 90°
小明到工厂去进行社会实践活动时,发现工人师傅生 产了一种如图所示的零件,
工人师傅告诉他:AB∥CD,∠BAE=45°,∠1=60°,小明马上运用已学的数学知识得出∠ECD的度数.你能求出∠ECD的度数吗?如果能,请写出理由.
如图所示,A、B之间是一座山,一条铁路要过A、B两县,在A地测得铁路走向是北偏东64°,那么B地按南偏西的 °方向施工,才能使铁路在山腰中准确接通.
y是x的反比例函数,下表给出了x与y的一些值:
x
﹣2
﹣1
﹣
1
3
y
2
(1)写出这个反比例函数的表达式;
(2)根据函数表达式完成上表.
如图,直线AB∥CD,∠C=44°,∠E=90°,则∠1等于( )
A. 132° B. 134° C. 136° D. 138°