题目内容
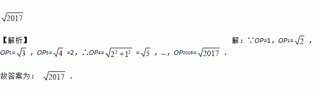
如图, ,过点作,且,得;再过点作,且,得;又过点作,且,得;,如此方法作下去,那么______________.
如图,直线l与∠O的两边分别交于点A、B,则图中以O、A、B为端点的射线的条数总和是( )
A. 5 B. 6 C. 7 D. 8
某商场为了吸引顾客,设计了一种促销活动.在一个不透明的箱子里放有4个完全相同的小球,球上分别标有“0元”、“10元”、“30元”、“50元”的字样.规定:顾客在本商场同一日内,消费每满300元,就可以从箱子里先后摸出两个球(每次只摸出一个球,第一次摸出后不放回).商场根据两个小球所标金额之和返还相应价格的购物券,可以重新在本商场消费.某顾客消费刚好满300元,则在本次消费中:
(1)该顾客至少可得 元购物券,至多可得 元购物券;
(2)请用画树状图或列表法,求出该顾客所获购物券的金额不低于50元的概率.
如图是一个几何体的三视图,则这个几何体是( )
A. 圆柱 B. 圆锥 C. 球 D. 三棱柱
如图,是小王和小李在一次跑步比赛中的时间和路程图.
(1)这次比赛的路程是_______米;
(2)小王的平均速度是_________米/秒;
(3)他们先到达终点的是_______;
(4)小李跑步的路程 (米)与时间 (秒)的函数关系式是_________.
已知反比例函数 (),其图像上有两个点、, 且,那么______.(填“>”、“=”或“<”)
化简: ________( ).
如图,线段,点为中点,点为中点,在线段上取点,使,则线段的长为_________.
下列计算错误的是
A、a·a5÷a4=a2
B、a3÷a=a3
C、x2÷(-x)2=1
D、x3÷x·x2=x4