题目内容
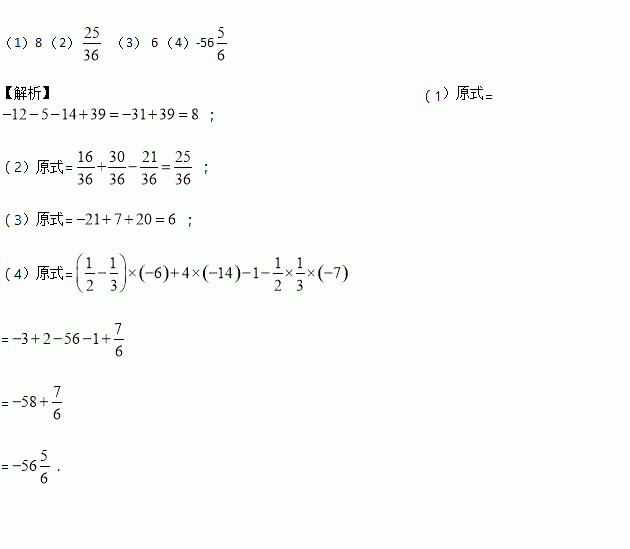
(1)
(2)
(3)
(4)
先化简,再求值: ,其中,a=1+,b=1﹣.
若△ABC∽△DEF,且AB:DE=1:3,则S△ABC:S△DEF=( )
A. 1:3 B. 1:9 C. 1: D. 1:1.5
如图,在?ABCD中,已知AD=8cm,AB=6cm,DE平分∠ADC交BC边于点E,则BE等于( )
A. cm B. 2cm C. 3cm D. 4cm
如图的立体图形的左视图可能是( )
A. B. C. D.
在数轴上,与表示-2的点距离为5的数是________.
从,,,,五个数中任取两个数相乘,若所得积中的最大值为,最小值为,则的值为( )
如图,在矩形ABCD中,AD=AB,∠BAD的平分线交BC于点E,DH⊥AE于点H,连接BH并延长交CD于点F,连接DE交BF于点O,下列结论:①∠AED=∠CED;②AB=HF,③BH=HF;④BC﹣CF=2HE;⑤OE=OD;其中正确结论的序号是_____________
数轴上与表示﹣5的点的距离等于3的点所表示的数是__.