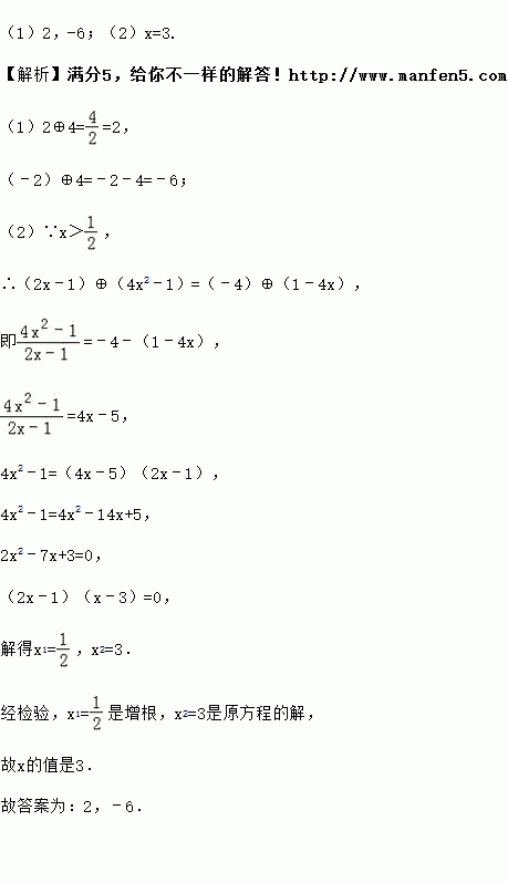
题目内容
设a、b是任意两个实数,规定a与b之间的一种运算“⊕”为:a⊕b=
,例如:1⊕(-3)=
=-3,(-3)⊕2=(-3)-2=-5,(x2+1)⊕(x-1)=
(因为x2+1>0).参照上面材料,解答下列问题:
(1)2⊕4= ,(-2)⊕4= ;
(2)若x>
,且满足(2x-1)⊕(4x2-1)=(-4)⊕(1-4x),求x的值.
练习册系列答案
相关题目
题目内容
设a、b是任意两个实数,规定a与b之间的一种运算“⊕”为:a⊕b=
,例如:1⊕(-3)=
=-3,(-3)⊕2=(-3)-2=-5,(x2+1)⊕(x-1)=
(因为x2+1>0).参照上面材料,解答下列问题:
(1)2⊕4= ,(-2)⊕4= ;
(2)若x>
,且满足(2x-1)⊕(4x2-1)=(-4)⊕(1-4x),求x的值.