题目内容
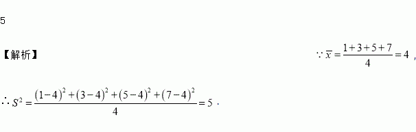
已知一组数据1,3,5,7,则该组数据的方差S2=_________.
下列交通标志是轴对称图形的是( ).
A. B. C. D.
已知圆锥的底面半径为3,侧面积为15,则这个圆锥的高为 .
在平面直角坐标系xOy中,抛物线交y轴于点A,交直线x=6于点B.
(1)填空:抛物线的对称轴为x=_________,点B的纵坐标为__________(用含a的代数式表示);
(2)若直线AB与x轴正方向所夹的角为45°时,抛物线在x轴上方,求的值;
(3)记抛物线在A、B之间的部分为图像G(包含A、B两点),若对于图像G上任意一点,总有≤3,求a的取值范围.
如图,在平面直角坐标系中,抛物线与直线相交于点B、C,点P为直线BC上方的抛物线上的一动点, PQ⊥x轴交BC于点Q,PG⊥BC于点G,点M为线段PQ的中点,则线段GM的最大值为_________.
如图,在△ABC中,∠B=70°,AB=4,BC=6,将△ABC沿图示中的虚线DE剪开,剪下的三角形与原三角形相似的有( )
(1) (2) (3) (4)
A. 1个 B. 2个 C. 3个 D. 4个
如图是一根可伸缩的鱼竿,鱼竿是用10节大小不同的空心套管连接而成.闲置时鱼竿可收缩,完全收缩后,鱼竿长度即为第1节套管的长度(如图1所示):使用时,可将鱼竿的每一节套管都完全拉伸(如图2所示).图3是这跟鱼竿所有套管都处于完全拉伸状态下的平面示意图.已知第1节套管长50cm,第2节套管长46cm,以此类推,每一节套管均比前一节套管少4cm.完全拉伸时,为了使相邻两节套管连接并固定,每相邻两节套管间均有相同长度的重叠,设其长度为xcm.
(1)请直接写出第5节套管的长度;
(2)当这根鱼竿完全拉伸时,其长度为311cm,求x的值.
是负无理数,下列判断正确的是( )
如图,已知, , , 是⊙上的四个点, , 交于点,连接, .若, ,则__________.