题目内容
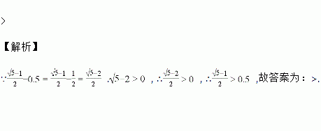
估计与0.5的大小关系是:_____0.5.(填“>”、“=”、“<”)
如图,在四边形ABCD中,,对角线AC与BD相交于点O,若不增加任何字母与辅助线,要使四边形ABCD是正方形,则还需增加一个条件是______.
设一元二次方程x2-3x+1=0的两根分别为x1,x2,则+=_____.
如图,已知AB∥CD,直线EF分别交AB、CD于点E、F,EG平分∠BEF,若∠1=50°,则∠2的度数为_______.
为了了解某县七年级9800名学生的视力情况,从中抽查了100名学生的视力情况,就这个问题来说,下面说法正确的是( )
A. 9800名学生是总体 B. 每个学生是个体
C. 100名学生是所抽取的一个样本 D. 样本容量是100
关于的叙述正确的是( )
A. 在数轴上不存在表示的点 B.
C. D. 与最接近的整数是3
如图,点E为BA 延长线上的一点,点F 为DC延长线上的一点,EF 交BC 于点G,交AD 于点H,若∠1=∠2,∠B=∠D.
(1)求证: AD//BC;
(2)求证: ∠E=∠F.
如图,直线l1∥l2,则α=( )
A. 160° B. 150° C. 140° D. 130°
如图,将长方形绕点顺时针旋转到长方形AB′C′D′的位置,旋转角为.若,则_____度.