题目内容
如图,直线l1∥l2,则α=( )
A. 160° B. 150° C. 140° D. 130°
下列关于作图的语句中正确的是( )
A. 画直线AB=10厘米
B. 画射线OB=10厘米
C. 已知A,B,C三点,过这三点画一条直线
D. 过直线AB外一点画一条直线和直线AB相交
估计与0.5的大小关系是:_____0.5.(填“>”、“=”、“<”)
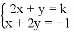
已知关于x,y的二元一次方程组的解互为相反数,则k的值是__.
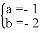
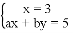
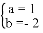
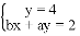
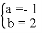
如果方程组的解与方程组的解相同,则a、b的值是( )
A. B. C. D.
下列各题计算结果为2a2的是( )
A. a6÷a3 B. 2a•a C. (﹣2a)2 D. (a2)2
某校为了了解了解节能减排、垃圾分类等知识的普及情况,从该校2000名学生中随机抽取了部分学生进行调查调查,调查结果分为“非常了解“、“了解”、“了解较少”、“不了解”四类,并将调查结果绘制出以下两幅不完整的统计图,请根据统计图回答下列问题:
(1)本次调查的学生共有 人,估计该校2000名学生中“不了解”的人数约有 人.
(2)“非常了解”的4人中有A1,A2两名男生,B1,B2两名女生,若从中随机抽取两人去参加环保知识竞赛,请用画树状图和列表的方法,求恰好抽到2名男生的概率.
下列图形中,主视图为①的是( )
已知关于x的一元二次方程(m-1)x2-4x-5=0有两个不相等的实数根,则m的最小正整数值为______.