题目内容

如图,点E是矩形ABCD边AB上一动点(不与点B重合),过点E作EF⊥DE交BC于点F,连接DF.已知AB = 4cm,AD = 2cm,设A,E两点间的距离为xcm,△DEF面积为ycm2.小明根据学习函数的经验,对函数y随自变量x的变化而变化的规律进行了探究.

下面是小明的探究过程,请补充完整:

(1)确定自变量x的取值范围是

(2)通过取点、画图、测量、分析,得到了x与y的几组值,如下表:

x/cm

0

0.5

1

1.5

2

2.5

3

3.5

y/cm2

4.0

3.7

3.9

3.8

3.3

2.0

(说明:补全表格时相关数值保留一位小数)

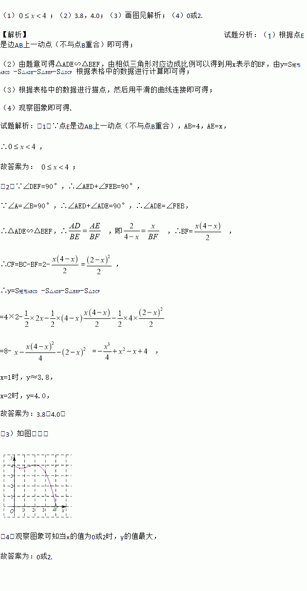
(3)建立平面直角坐标系,描出以补全后的表中各对对应值为坐标的点,画出该函数的图象;

(4)结合画出的函数图象,解决问题:当△DEF面积最大时,AE的长度为 cm.

(1);(2)3.8,4.0;(3)画图见解析;(4)0或2. 【解析】试题分析:(1)根据点E是边AB上一动点(不与点B重合)即可得; (2)由题意可得△ADE∽△BEF,由相似三角形对应边成比例可以得到用x表示的BF,由y=S矩形ABCD -S△ADE-S△BEF-S△DCF 根据表格中的数据进行计算即可得; (3)根据表格中的数据进行描点,然后用平滑的曲线连接即可得; ...
练习册系列答案
相关题目

违法和不良信息举报电话:027-86699610 举报邮箱:58377363@163.com

精英家教网