题目内容
如图,每个小正方形的边长为l,在△ABC中,点D为AB的中点,则线段CD的长为( )
A. B. C. D.
已知α为锐角,且tan(90°-α)=,则α的度数为( )
A. 30° B. 60° C. 45° D. 75°
计算:3xy2÷=_____
如图,在平面直角坐标系中,网格中每一个小正方形的边长为1个单位长度,
(1)请在所给的网格内画出以线段AB、BC为边的菱形,并写出点D的坐标 .
(2)线段BC的长为 ,菱形ABCD的面积等于
在实数范围内分解因式:=______.
下列二次根式中,不能与合并的是( )
如图,在矩形ABCD中,AB=8,AD=12,过A,D两点的⊙O与BC边相切于点E,则⊙O的半径为___.
如图,边长为2的正方形ABCD的中心在直角坐标系的原点O,AD∥x轴,以O为顶点且过A、D两点的抛物线与以O为顶点且过B、C两点的抛物线将正方形分割成几部分.则图中阴影部分的面积是________.
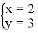
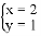
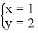
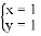
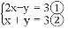
方程组:的解是( )