题目内容
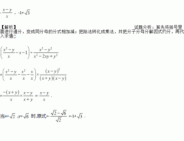
先化简,再求值: ,,其中x=,y=.
如图,在△ABC中,AB=AC,以AC为直径的⊙O交AB于点D,交BC于点E.
(1)求证:BE=CE;
(2)若BD=2,BE=3,求AC的长.
市政公司为绿化建设路风景带,计划购买甲乙两种树苗600株,甲种树苗每株50元,乙种树苗每株70元.有关统计表明,甲乙两种树苗的成活率分别为80%和95%.(注:成活率=×100%).
(1)若购买树苗的钱不超过40000元,应如何选购甲、乙两种树苗;
(2)若希望这批树苗的成活率不低于90%,且购买树苗的费用最低,应如何选购甲、乙两种树苗并求出最低费用是多少元.
中央电视台“幸运52”栏目中有“砸金蛋”互动环节.游戏规则如下:在20个金蛋中,若砸开后,金花四射,则为中奖,否则就不得奖,其中有15个金蛋砸开后“金花四射”.某次共有3名观众参与砸蛋,前两名观众砸开金蛋后均未出现金花四射,则第三名观众砸开金蛋后,不得奖的概率为( )
A. B. C. D.
如图,已知△ABC是等边三角形,点D、F分别在线段BC、AB上,∠EFB=60°,DC=EF.
(1)求证:四边形EFCD是平行四边形;
(2)若BF=EF,求证:AE=AD.
如图,∠AOP=∠BOP=15°,PC∥OA,PD⊥OA,若PC=4,则PD的长为_____.
如图所示,在直角△ABC中,∠BAC=90°,AB=8,AC=6,DE是AB边的垂直平分线,垂足为D,交边BC于点E,连接AE,则△ACE的周长为( )
A. 16 B. 15 C. 14 D. 13
在4张完全相同的卡片上分别画上①、②、③、④ 。在看不见图形的情况下随机抽取一
张,卡片上的图形为中心对称图形的概率是__________
某班数学课外活动小组的同学欲测量公园内一棵树DE的高度,他们在这棵树正前方一楼亭前的台阶上A点处测得树顶端D的仰角为30°,朝着这棵树的方向走到台阶下的点C处测得树顶端D的仰角为60°,已知A点的高度AB为2米,台阶AC的坡度i=1:2,且B,C,E三点在同一条直线上,请根据以上条件求出树DE的高度.(测倾器的高度忽略不计,结果保留根号)