题目内容
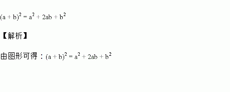
观察图形,根据图形面积的关系,不需要连其他的线,便可以得到一个用来分解因式的公式,这个公式是_____.
如图,中,,,求的度数.
已知点A(m+1,﹣2)和点B(3,m﹣1),若直线AB∥x轴,则m的值为( )
A. 2 B. ﹣4 C. ﹣1 D. 3
一组从小到大排列的数据:a,3,4,4,6(a为正整数),唯一的众数是4,则该组数据的平均数是( )
A.3.6 B.3.8 C.3.6或3.8 D.4.2
已知与互为相反数,求的值.
______ .
把分解因式得
A. B.
C. D.
小明与小刚规定了一种新运算△:a△b=3a﹣2b.小明计算出2△5=﹣4,请你帮小刚计算2△(﹣5)=______.
已知函数(是常数),当函数与坐标轴有且仅有个交点时,求的值.