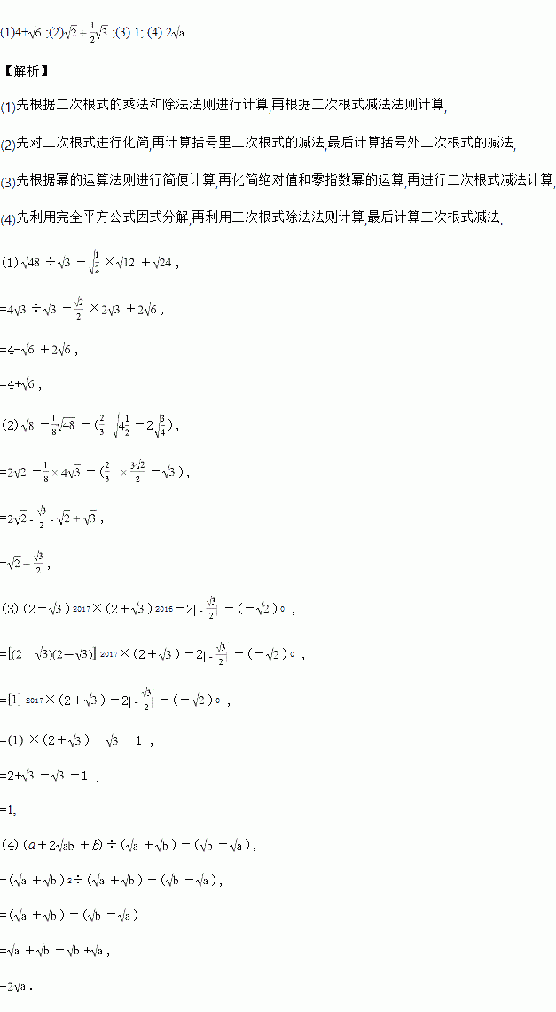
题目内容
计算:
(1)÷-×+; (2)--( -2);
(3)(2-)2017×(2+)2016-2-(-)0 (4)(a+2+b)÷(+)-(-).
如图,?ABCD中,点E,F在直线AC上(点E在F左侧),BE∥DF.
(1)求证:四边形BEDF是平行四边形;
(2)若AB⊥AC,AB=4,BC=2,当四边形BEDF为矩形时,求线段AE的长.
为弘扬中华优秀传统文化,某中学在全校开展诵读古诗词竞赛活动.测试题共有27道题,评分办法规定:答对一道题得10分,不答得0分,答错一道题倒扣5分,小明有1道题未答,他若得分不低于95分,至少要答对几道题?
(1)若设小明答对x道题,则可得 分,答错 道题,要倒扣 分;(用含x的式子表示)
(2)根据题意,列出不等式,完成本题解答.
把点A(3,﹣4)先向上平移4个单位,再向左平移3个单位得到点B,则点B坐标为( )
A. (0,﹣8) B. (6,﹣8) C. (﹣6,0) D. (0,0)
已知:长方形的长a=,宽b=
(1)求长方形的周长;
(2)求与长方形等面积的正方形的周长,并比较与长方形周长的大小关系。
已知、为两个连续的整数,且,则=________。
已知x<0,那么的结果等于( )
A. x B. -x C. 3x D. -3x
如图,已知A点的坐标为,直线与y轴交于点B,连接AB,若,则____________.
如图,已知∠ADC=∠EFC,∠3=∠C,可推得∠1=∠2.理由如下:
【解析】因为∠ADC=∠EFC(已知)
所以AD∥EF( ).
所以∠1=∠4( ),
因为∠3=∠C(已知),
所以AC∥DG( ).
所以∠2=∠4( ).
所以∠1=∠2(等量代换).