题目内容
二元一次方程,用含的代数式表示,下列各式正确的是( )
A. B. C. D.
下列各式从左到右的变形,是因式分解的是( )
A. a2-5=(a+2)(a-2)-1 B. (x+2)(x-2)=x2-4
C. x2+8x+16=(x+4)2 D. a2+4=(a+2)2-4a
关于 x 的方程 ax=x+2(a1) 的解是________.
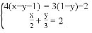
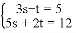
用适当方法解下列方程组:
(1) ;(2)
计算:_______.
下列图形中,∠1与∠2不是同位角的是( )
有如图所示的一块地,已知AD=4米,CD=3米,,AB=13米,BC=12米.
(1)试判断以点A、点B、点C为顶点的三角形是什么三角形?并说明理由.
(2)求这块地的面积.
正方形面积为36,则对角线的长为( )
A. 6 B. 6 C. 9 D. 9
如图,在矩形ABCD中,点E在边CD上,点F在对角线BD上,DF::,,那么______.