题目内容
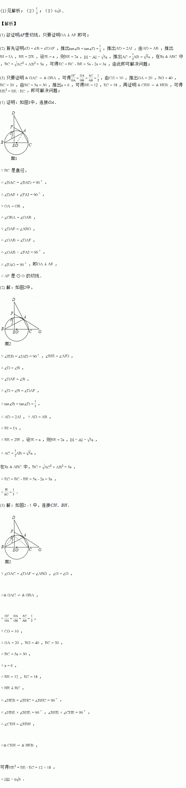
如图1,BC是的直径,点A在![]()
上,点D在CA的延长线上,![]()
,垂足为点E,DE与![]()
相交于点H,与AB相交于点![]()
过点A作![]()
,与DE相交于点F.![]()
求证:AF为![]()
的切线;![]()
当![]()
,且![]()
时,求:
的值;
如图2,在![]()
的条件下,延长FA,BC相交于点G,若![]()
,求线段EH的长.![]()
![]()
练习册系列答案
相关题目
某工厂计划生产A,B两种产品共10件,其生产成本和利润如下表:
A种产品 | B种产品 | |
成本 | 2 | 5 |
利润 | 1 | 3 |
若工厂计划获利14万元,问A,B两种产品应分别生产多少件?![]()
若工厂计划投入资金不多于44万元,且获利多于14万元,问工厂有哪几种生产方案?![]()
在![]()
的条件下,哪种生产方案获利最大?并求出最大利润.![]()