题目内容
如图,已知四边形OABC是平行四边形,反比例函数的图象经过点C,且与AB交于点D,连接OD,CD,若BD=3AD,△OCD的面积是10,则k的值为( )
A. 10 B. -5 C. D.
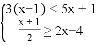
解不等式或不等式组,并在数轴上表示它们的解集
(1)≤.
(2).
百子回归图是由1,2,3…,100无重复排列而成的正方形数表,它是一部数化的澳门简史,如:中央四位标示澳门回归日期,最后一行中间两位标示澳门面积,……,同时它也是十阶幻方,其每行10个数之和,每列10个数之和,每条对角线10个数之和均相等,则这个和为________________.
从5月份开始,水蜜桃和夏橙两种水果开始上市,根据市场调查,水蜜桃售价为20元/千克,夏橙售价为15元/千克.
(1)某水果商城抓住商机,开始销售这两种水果.若第一周水蜜桃的平均销量比夏橙的平均销量多100千克,要使该水果商城第一周销售这两周水果的总销售额不低于9000元,则第一周至少销售水蜜桃多少千克?
(2)若该水果商城第一周按照(1)中水蜜桃和夏橙的最低销量销售这两种水果,并决定第二周继续销售这两种水果.第二周水蜜桃售价降低了,销量比第一周增加了,夏橙的售价保持不变,销量比第一周增加了.结果两种水果第二周的总销售额比第一周增加了,求的值.
已知二次函数的图象经过点(-2,4),则的值为 .
下列命题是假命题的是( ).
A. 四边相等的四边形是菱形
B. 有一个角是直角的平行四边形是矩形
C. 一组对边平行另一组对边相等的四边形是平行四边形
D. 对角线相互平分的四边形是平行四边形
对于两个两位数m和n,将其中任意一个两位数的十位上的数字和个位上的数字分别放置于另一个两位数十位上数字与个位上的数字之间和个位上的数字的右边,就可以得到两个新四位数,把这两个新四位数的和与11的商记为F(m,n)。例如:当m=36,n=10时,将m十位上的3放置n中1与0之间,将m个位上的6位置于n中0的右边,得到1306.将n个十位上的1放置于m中3和6之间,将n个位上的0放置于m中6的右边,得到3160。这两个新四位数的和为1306+3160=4466,4466÷11=406,所以F(36,10)=406。
(1)计算:F(20,18);
(2)若a=10+x,b=10y+8(0≤x≤9,1≤y≤9,x,y都是自然数)。当150 F(a,36)+ F(b,49)=62767时,求F(5a,b)的最大值。
如图,在△ABC中∠C=2∠A=90°,分别以点A和点B为圆心,以AC的长为半径画弧交AB于D,E两点,若BC=,则阴影部分的面积是( )
A. B. π-2 C. D. π-1
某乳品公司最近推出一款果味酸奶,共有红枣、木瓜两种口味,若送奶员连续三天,每天从中任选一瓶某种口味的酸奶赠送给某住户品尝,则该住户收到的三瓶酸奶中,至少有两瓶为红枣口味的概率是多少?
(请用“画树状图”的方法给出分析过程,并求出结果)