题目内容
已知直线
(n为正整数)与坐标轴围成的三角形的面积为Sn,则S1+S2+S3+…+S2012= .
。
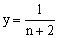
【解析】令x=0,则
;
令y=0,则
,解得。
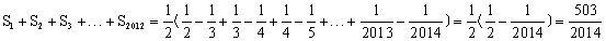
∴
。
∴
。
考点:探索规律题(图形的变化类),一次函数图象上点的坐标特征
练习册系列答案
相关题目
题目内容
已知直线
(n为正整数)与坐标轴围成的三角形的面积为Sn,则S1+S2+S3+…+S2012= .
。
【解析】令x=0,则
;
令y=0,则
,解得。
∴
。
∴
。
考点:探索规律题(图形的变化类),一次函数图象上点的坐标特征