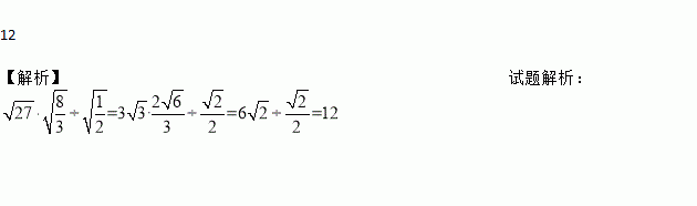
题目内容
计算:
=________.
练习册系列答案
相关题目
某校开展“节约每一滴水”活动,为了了解开展活动一个月以来节约用水的情况,从八年级的400名同学中选取20名同学统计了各自家庭一个月约节水情况.见表:
节水量/m3 | 0.2 | 0.25 | 0.3 | 0.4 | 0.5 |
家庭数/个 | 2 | 4 | 6 | 7 | 1 |
请你估计这400名同学的家庭一个月节约用水的总量大约是( )
A. 130m3 B. 135m3 C. 6.5m3 D. 260m3
A 【解析】试题分析:先计算这20名同学各自家庭一个月的节水量的平均数,即样本平均数,然后乘以总数400即可解答. 【解析】 20名同学各自家庭一个月平均节约用水是: (0.2×2+0.25×4+0.3×6+0.4×7+0.5×1)÷20=0.325(m3), 因此这400名同学的家庭一个月节约用水的总量大约是: 400×0.325=130(m3), 故选A....