题目内容
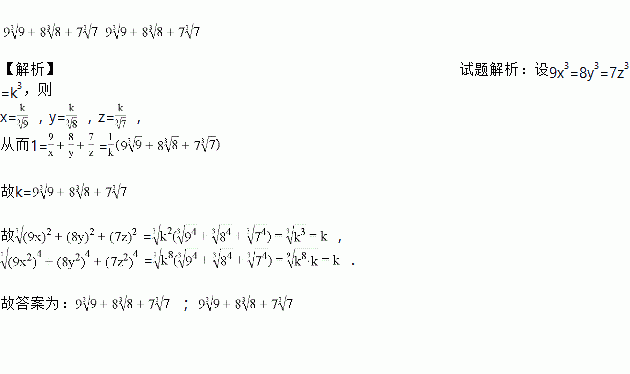
设实数x,y,z适合9x3=8y3=7z3,,则=__________,
=_____________.
如图,平行四边形ABCD周长是28cm,△ABC的周长是22cm,则AC长( )
A. 14cm B. 12cm C. 10cm D. 8cm
如图,已知AB是⊙O的直径,CD是⊙O的切线,C为切点,且∠BAC=50°,则∠ACD=______°.
已知:如图,在△ABC中,AB=AC,以AB为直径的⊙O交BC于点D,过点D作DE⊥AC于点E.
(1)求证:DE是⊙O的切线;
(2)若∠CAB=120°,⊙O的半径等于5,求线段BC的长.
如图,在矩形ABCD中,把∠A沿DF折叠,点A恰好落在矩形的对称中心E处,则tan∠ADF=_______.
如图是某几何体的三视图,则该几何体的全面积等于( )
A. 112 B. 136 C. 124 D. 84
如图,在平面直角坐标系xOy中,已知四边形DOBC是矩形,且D(0,4),B(6,0).若反比例函数y=(x>0)的图象经过线段OC的中点A,交DC于点E,交BC于点F.设直线EF的解析式为y=k2x+b.
(1)求反比例函数和直线EF的解析式;
(2)求△OEF的面积;
(3)请结合图象直接写出不等式k2x+b﹣>0的解集.
如图,在△ABC中,∠ABC=90°,∠C=25°,DE是边AC的垂直平分线,连结AE,则∠BAE等于 .
如图,矩形ABCD中,AB=6,BC=8,点E是BC边上一点,连接AE,把∠B沿AE折叠,使点B落在点B′处,当△CEB′为直角三角形时,BE的长为 .