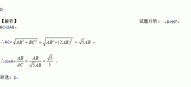
题目内容
如图,△ABC中,∠B=90°,BC=2AB,则cos A=( )
A. B. C. D.
如图,四边形ABCD是⊙O的内接四边形,点F 是CD延长线上的一点,且AD平分∠BDF,AE⊥CD于点E.
⑴ 求证:AB=AC.
⑵ 若BD=11,DE=2,求CD的长.
下列几何体是由4个相同的小正方体搭成的,其中从左面看到的形状图与从上面看到的形状图相同的是( )
若关于的一元二次方程 有两个相等的实数根,则的值为____________.
甲、乙两人在直线道路上同起点、同终点、同方向,分别以不同的速度匀速跑1500米,先到终点的人原地休息,已知甲先出发30秒后,乙才出发,甲在跑步的整个过程中,甲、乙两人的距离y(米)与甲出发的时间x(秒)之间的关系如图所示,则乙到终点时,甲距终点的距离是( )米
A. 150 B. 175 C. 180 D. 225
在平面直角坐标系中,二次函数的图象与轴交于A(-3,0),B(1,0)两点,与y轴交于点C.
(1)求这个二次函数的解析式;
(2)点P是直线AC上方的抛物线上一动点,是否存在点P,使△ACP的面积最大?若存在,求出点P的坐标;若不存在,说明理由;
(3)点Q是直线AC上方的抛物线上一动点,过点Q作QE垂直于轴,垂足为E.是否存在点Q,使以点B、Q、E为顶点的三角形与△AOC相似?若存在,直接写出点Q的坐标;若不存在,说明理由;
如图,已知反比例函数与正比例函数的图象,点,点与点均在反比例函数的图象上,点在直线上,四边形是平行四边形,则点的坐标为__________.
如图①,△ABC的角平分线BD、CE相交于点P.
(1)如果∠A=80°,求∠BPC的度数;
(2)如图②,作△ABC外角∠MBC,∠NCB的角平分线交于点Q,试探索∠Q、∠A之间的数量关系.
(3)如图③,延长线段BP、QC交于点E,△BQE中,存在一个内角等于另一个内角的2倍,求∠A的度数.
如图,已知AC∥BD,∠CAE=30°,∠DBE=45°,则∠AEB等于( )
A. 30° B. 45° C. 60° D. 75°