题目内容
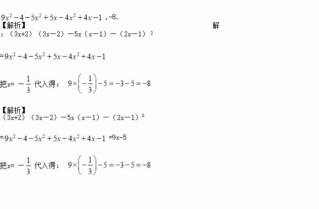
先化简,再求值: (3x+2)(3x—2)—5x(x—1)—(2x—1) ,其中x= —
要使有意义,则的取值范围是( )
A. x≠5 B. x>5 C. x=5 D. x<5
若一个多边形内角和等于1260°,则该多边形边数是______.
如图,在矩形中, , 的平分线交边于点, 于点,连接并延长交边于点,连接交于点.给出下列命题:①;②;③;④.其中正确命题为( )
A. ①② B. ①③
C. ①③④ D. ①②③④
在某校“我的中国梦”演讲比赛中,有9名学生参加比赛,他们决赛的最终成绩各不相同,其中的一名学生要想知道自己能否进入前5名,不仅要了解自己的成绩,还要了解这9名学生成绩的( )
A. 众数 B. 方差 C. 平均数 D. 中位数
—4x3+16x2—20x
下列运算正确的是( )
A. B. C. D.
抛物线y=2x2-2 x+1与坐标轴的交点个数是( )
A. 0 B. 1 C. 2 D. 3
计算:(1);(2)()×()