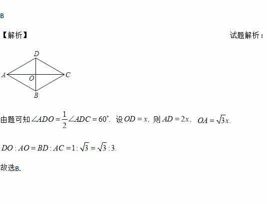
题目内容
在菱形ABCD中,若∠ADC=120°,则BD:AC等于 ( )
A. :2 B. :3 C. 1:2 D. :1
已知直线, , ,则________度.
若直线y=kx+b与直线y=-2x+1平行,且经过点(2,0),则b=_______
先化简,再求代数式÷(m﹣1)的值,其中m=﹣1.
一元二次方程x2=2x的根是______.
下面的图案中,是轴对称图形而不是中心对称图形的是( )
A. B. C. D.
甲、乙两家超市以相同的价格出售同样的商品,为了吸引顾客,各自推出不同的优惠方案:在甲超市累计购买商品超出了300元以后,超出部分按原价8折优惠;在乙超市累计购买商品超出200元之后,超出部分按原价8.5折优惠,设顾客预计累计购物x元(x>300)
(1)分别列出到甲、乙超市购买商品所需费用(用含x的代数式表示);
(2)当x=400元时,到哪家超市购物优惠.
(3)当x为何值时,两家超市购物所花实际钱数相同.
某市今年共有7万名考生参加中考,为了了解这7万名考生的数学成绩,从中抽取了1000名考生的数学成绩进行统计分析.以下说法正确的有( )个.
①这种调查采用了抽样调查的方式
②7万名考生是总体
③1000名考生是总体的一个样本
④每名考生的数学成绩是个体.
A. 2 B. 3 C. 4 D. 0
单项式的系数是__________.