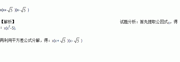
题目内容
在实数范围内分解因式:x3-5x=____________________.
练习册系列答案
相关题目
已知 A、B 两家销售公司员工工资的结算方式如下:A 公司每月 4000 元基本工 资,另加销售额的 2%作为奖励性工资;B 公司每月 3600 元基本工资,另加销售额的 4%作 为奖
励性工资。已知 A、B 公司两位销售员小李、小张 1~6 月份的销售额如下表:
销售额(单位元) | 1月 | 2月 | 3月 | 4月 | 5月 | 6月 |
小李(A 公司) | 9000 | 11000 | 13000 | 15000 | 17000 | 19000 |
小张(B 公司) | 9500 | 11000 | 12500 | 14000 | 15500 | 17000 |
(1)小李 1 月份的工资是 元,此时小张的工资是 元;
(2)观察表格中的数据特点,若用 X 表示月份,则小李~6 月份的销售额用含 X 的代数式表 示为 ,小张在 1~6 月份的销售额也用含 X 的代数式表示为 ;
(3)如果 7~12 月份两人的销售额也分别满足(2)中的规律,试问到几月份小张工资将追 平小李的工资.