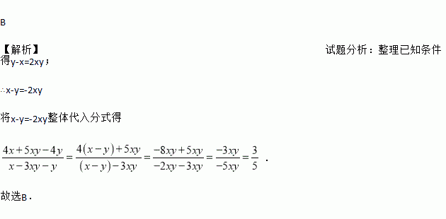
题目内容
若分式,则分式的值等于( )
A. ; B. ; C. ; D. .
如图,在直角坐标系中,直线y=6-x与函数y= (x>0)的图象相交于点A,B,设点A的坐标为(x1,y1),那么长为y1、宽为x1的矩形的面积和周长分别为( )
A. 4,12 B. 8,12 C. 4,6 D. 8,6
某公司在埃及新投产一座鸡饲料厂,年生产的饲料可饲养57000000只肉鸡,这个数据用科学记数法可表示为____________只.
先化简, ,再在-2,0,1,2四个数中选一个合适的代入求值.
解方程: ,则x=________.
下列因式分解正确的是( )
A. x2-xy+x=x(x-y); B. a3+2a2b+ab2=a(a+b)2; C. x2-2x+4=(x-1)2+3; D. ax2-9=a(x+3)(x-3).
设3m+n能被10整除,试说明3m+4+n也能被10整除.
下列算式中,结果等于a6的是( )
A. a4+a2 B. a2+a2+a2
C. a2·a3 D. a2·a2·a2
已知,则代数式的值为( )
A. B. C. D.