题目内容
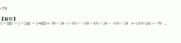
(-38)-(-24)-(+65)=_______.
在数学活动课上,同学们利用如图所示的程序进行计算,发现无论x取任何整数,结果都会进入循环,下面选项一定不是该循环的是( )
A. 4,2,1 B. 2,1,4 C. 1,4,2 D. 2,4,1
对于二次函数,下列说法正确的是( )
A. 当x>0时,y随x的增大而增大 B. 当x=2时,y有最大值-3
C. 图象的顶点坐标为(-2,-7) D. 图象与x轴有两个交点
小明解方程的过程如下,他的解答过程中从第________步开始出现错误.
【解析】去分母,得1-(x-2)=1.①
去括号,得1-x+2=1.②
合并同类项,得-x+3=1.③
移项,得-x=-2.④
系数化为1,得x=2.⑤
计算: (1)a(a-b)+ab ;(2)2(a 2- 3)-(2a 2 -1)
一个圆柱的侧面展开图是一个面积为10的矩形,这个圆柱的高为L与这个圆柱的底面半径r之间的函数关系为( )
A、正比例函数 B、反比例函数 C、一次函数 D、二次函数
下列计算,正确的是( )
A. (-2) -2 =4 B.
C. 4 6 ÷(-2) 6 =64 D.
点(﹣1,y1),(2,y2),(3,y3)均在函数的图象上,则y1 , y2 , y3的大小关系是( )
A. y3<y2<y1 B. y2<y3<y1 C. y1<y2<y3 D. y1<y3<y2
如图,小明用长为3m的竹竿CD做测量工具,测量学校旗杆AB的高度,移动竹竿,使竹竿与旗杆的距离DB=12m,则旗杆AB的高为________ m.