题目内容

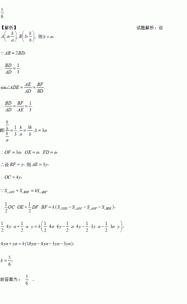
如图,点A、B在反比例函数y=(k>0,x>0)的图象上(点A在点B的左侧),直线AB分别交x轴,y轴于点D,C,AE⊥x轴于点E,BF⊥x轴于点F,连结AO,BE,已知AB=2BD,△AOC与△BDF的面积之和是△ABE的面积的k倍,则k的值是_____.

【解析】试题解析:设则 即 ∴设则 故答案为: .
练习册系列答案
相关题目

已知,抛物线y=ax2+ax+b(a≠0)与直线y=2x+m有一个公共点M(1,0),且a<b.

(1)求b与a的关系式和抛物线的顶点D坐标(用a的代数式表示);

(2)直线与抛物线的另外一个交点记为N,求△DMN的面积与a的关系式;

(3)a=﹣1时,直线y=﹣2x与抛物线在第二象限交于点G,点G、H关于原点对称,现将线段GH沿y轴向上平移t个单位(t>0),若线段GH与抛物线有两个不同的公共点,试求t的取值范围.

【答案】(1)b=﹣2a,顶点D的坐标为(﹣,﹣);(2);(3) 2≤t<

【解析】试题分析:(1)把M点坐标代入抛物线解析式可得到b与a的关系,可用a表示出抛物线解析式,化为顶点式可求得其顶点D的坐标;
(2)把点代入直线解析式可先求得m的值,联立直线与抛物线解析式,消去y,可得到关于x的一元二次方程,可求得另一交点N的坐标,根据a<b,判断a<0,确定D、M、N的位置,画图1,根据面积和可得的面积即可;
(3)先根据a的值确定抛物线的解析式,画出图2,先联立方程组可求得当GH与抛物线只有一个公共点时,t的值,再确定当线段一个端点在抛物线上时,t的值,可得:线段GH与抛物线有两个不同的公共点时t的取值范围.

试题解析:(1)∵抛物线有一个公共点M(1,0),

∴a+a+b=0,即b=?2a,

∴抛物线顶点D的坐标为

(2)∵直线y=2x+m经过点M(1,0),

∴0=2×1+m,解得m=?2,

∴y=2x?2,

∴(x?1)(ax+2a?2)=0,

解得x=1或

∴N点坐标为

∵a<b,即a<?2a,

∴a<0,

如图1,设抛物线对称轴交直线于点E,

∵抛物线对称轴为

设△DMN的面积为S,

(3)当a=?1时,

抛物线的解析式为:

解得:

∴G(?1,2),

∵点G、H关于原点对称,

∴H(1,?2),

设直线GH平移后的解析式为:y=?2x+t,

?x2?x+2=?2x+t,

x2?x?2+t=0,

△=1?4(t?2)=0,

当点H平移后落在抛物线上时,坐标为(1,0),

把(1,0)代入y=?2x+t,

t=2,

∴当线段GH与抛物线有两个不同的公共点,t的取值范围是

【题型】解答题
【结束】
26

摇椅是老年人很好的休闲工具,右图是一张摇椅放在客厅的侧面示意图,摇椅静止时,以O为圆心OA为半径的的中点P着地,地面NP与相切,已知∠AOB=60°,半径OA=60cm,靠背CD与OA的夹角∠ACD=127°,C为OA的中点,CD=80cm,当摇椅沿滚动至点A着地时是摇椅向后的最大安全角度.

(1)静止时靠背CD的最高点D离地面多高?

(2)静止时着地点P至少离墙壁MN的水平距离是多少时?才能使摇椅向后至最大安全角度时点D不与墙壁MN相碰.

(精确到1cm,参考数据π取3.14,sin37°=0.60,cos37°=0.80,tan37°=0.75,sin67°=0.92,cos67°=0.39,tan67°=2.36, =1.41, =1.73)

(1)244cm(2)静止时着地点P至少离墙壁MN的水平距离是96cm时,才能使摇椅向后至最大安全角度时点D不与墙壁MN相碰 【解析】试题分析:(1)如图,作CJ∥PN交OP于J,DH⊥CJ于H.求出DH、JP即可解决问题; (2)如图.当OA⊥PN时,作DH⊥AC于H.求出DH、PA即可解决问题; 试题解析:(1)如图,作CJ∥PN交OP于J,DH⊥CJ于H. 在 中, ...

违法和不良信息举报电话:027-86699610 举报邮箱:58377363@163.com

精英家教网