题目内容
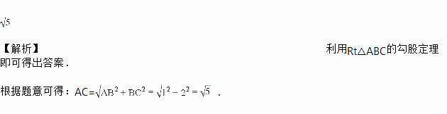
在矩形ABCD中,AB=1,BC=2,则AC=_______.
下列语句描述的事件中,是随机事件的为( )
A. 水能载舟,亦能覆舟 B. 只手遮天,偷天换日
C. 瓜熟蒂落,水到渠成 D. 心想事成,万事如意
已知某几何体的三视图如图所示,其中俯视图为正六边形,则该几何体的侧面积为_____.
将一条长为20cm的铁丝剪成两段,并以每一段铁丝的长度为周长做成一个正方形.要使这两个正方形的面积之和等于17cm2,那么这两个正方形的边长分别是多少?
气象台预报“本市明天降水概率是”,对此信息,下面的几种说法正确的是( )
A. 本市明天将有的地区降水 B. 本市明天将有的时间降水
C. 明天肯定下雨 D. 明天降水的可能性比较大
如图是一个被等分成6个扇形可自由转动的转盘,转动转盘,当转盘停止后,指针指向红色区域的概率是_____.
2017年5月14日至15日,“一带一路”国际合作高峰论坛在北京举行,本届论坛期间,中国同30多个国家签署经贸合作协议,某厂准备生产甲、乙两种商品共8万件销往“一带一路”沿线国家和地区.已知2件甲种商品与3件乙种商品的销售收入相同,3件甲种商品比2件乙种商品的销售收入多1500元.
(1)甲种商品与乙种商品的销售单价各多少元?
(2)若甲、乙两种商品的销售总收入不低于5400万元,则至少销售甲种商品多少万件?
若满足方程组的x与y互为相反数,则m的值为( )
A. 1 B. ﹣1 C. 11 D. ﹣11
《九章算术》是中国传统数学最重要的著作,奠定了中国传统数学的基本框架.它的代数成就主要包括开方术、正负术和方程术.其中,方程术是《九章算术》最高的数学成就.《九章算术》中记载:“今有甲乙二人持钱不知其数.甲得乙半而钱五十,乙得甲太半而钱亦五十.问甲、乙持钱各几何?”
译文:“假设有甲乙二人,不知其钱包里有多少钱.若乙把自己一半的钱给甲,则甲的钱数为50;而甲把自己的钱给乙,则乙的钱数也能为50.问甲、乙各有多少钱?”
设甲持钱为x,乙持钱为y,可列方程组为______.