题目内容
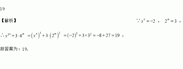
已知, , 、是正整数,则的值为__________.
如图,在?ABCD中,F是AD延长线上一点,连接BF交DC于点E,则图中相似三角形共有( )对.
A. 2对 B. 3对 C. 4对 D. 5对
如图,在矩形ABCD中,点E在AB边上,沿CE折叠矩形ABCD,使点B落在AD边上的点F处,若AB=4,BC=5,则tan∠AFE的值为___.
如图,等腰三角形ABC中,AB=AC,BD平分∠ABC,∠A=36°,则∠1的度数为( )
A. 36° B. 60° C. 72° D. 108°
计算: .
如图,在中, ,面积是, 的垂直平分线分别交、边于、点,若点为边的中点,点为线段上一动点,则周长的最小值为( ).
A. B. C. D.
若一个等腰三角形的两边长分别为和,则这个等腰三角形的周长是( ).
A. B. C. 或 D. 或
如图是某月的日历表,在此日历表上可以用一个矩形圈出3×3个位置的9个数(如6,7,8,13,14,15,20,21,22).若用这样的矩形圈圈这张日历表的9个数,则圈出的9个数的和可能为下列数中的( )
A. 81 B. 100 C. 108 D. 216
已知△ABC,若将△ABC平移后得到△A′B′C′,且点A(1,0)的对应点A′的坐标是(-1,0),则△ABC是向__________平移__________个单位得到△A′B′C′.