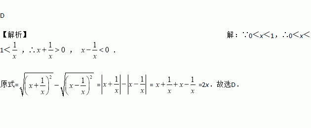
题目内容
若0<x<1,则-等于( )
A. B. - C. -2x D. 2x
关于的方程的解与方程的解相同,则的值是( )
A. B. C. D.
如图所示,下列说法不正确的是( )
A. 点B到AC的垂线段是线段AB B. 点C到AB的垂线段是线段AC
C. 线段AD是点D到BC的垂线段 D. 线段BD是点B到AD的垂线段
如图,直线AB,CD相交于点O,若∠AOC=90°,则AB与CD的位置关系是__________;若已知AB⊥CD,则∠AOC=∠COB=∠BOD=∠AOD=__________.
(a2- + )÷a2b2;
化简:(7-5)2018·(-7-5)2017=______________.
当x__________ 时,式子有意义
为了节省空间,家里的饭碗一般是摞起来存放的.如果6只饭碗摞起来的高度为15 cm,9只饭碗摞起来的高度为20 cm,那么11只饭碗摞起来的高度更接近( )
A. 21cm B. 22cm C. 23cm D. 24cm
方程(x+1)2-3=0的根是( )
A. x1=1+,x2=1- B. x1=1+,x2=-1+
C. x1=-1+,x2=-1- D. x1=-1-,x2=1+