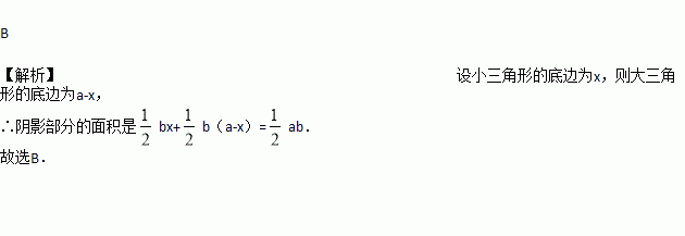
题目内容
如图,长为a ,宽为b的长方形中阴影部分的面积是 ( )
A. B. C. ab D.
下面4个汽车标志图案,其中不是轴对称图形的是( )
A. B. C. D.
在比例尺为1:38000的扬州旅游地图上,某条道路的长为6cm,则这条道路的实际长度为____km.
先化简,再求值:
,其中, .
单项式的系数是 ,次数是 .
下列各组单项式中,属于同类项的是 ( )
A. 与 B. 与 C. 与 D. 与
如图,矩形的顶点和分别在轴和轴上,并且, ,反比例函数 (>0)的图象交于点,交于点, 一次函数的图象经过点、,连结, .
(1)点的坐标是( ),点的坐标是( );
(2)求反比例函数与一次函数的解析式;
(3)根据图象写出使得的的取值范围.
已知菱形中,对角线与相交于点, , ,则该菱形的面积是( )
A. 48 B. 24 C. 16 D. 8
如图,已知是⊙的直径,弦与交于点,过点作⊙的切线与的延长线交于点, 交直线于点.
()若,求证: 是⊙的切线;
()如果, 且为的中点,求直径的长.