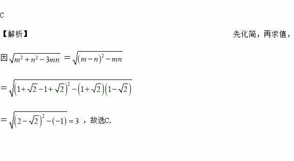
题目内容
已知m=1+,n=1-,则代数式的值为( )
A.9 B.±3
C.3 D.5
在中, 都是锐角,tanA=1,sinB=, 你认为最确切的判断是( )
A. 等腰三角形 B. 等腰直角三角形 C. 直角三角形 D. 锐角三角形
如图,已知直线经过点,∠1=∠,∠2=50°,则∠3的度数为( )
A. 50° B. 40° C. 130° D. 80°
计算÷8×=_________.
已知中, ,则它的三条边之比为( ).
A. B. C. D.
某中学扩建教学楼,测量地基时,量得地基长为2a m,宽为(2a﹣24)m,试用a表示地基的面积,并计算当a=25时地基的面积.
计算93﹣92﹣8×92的结果是________.
已知:如图,在△ABC中,中线BE,CD交于点O,F,G分别是OB,OC的中点.求证:四边形DFGE是平行四边形.
如图,已知CD是∠ACB的平分线,∠ACB=48°,∠BDC=82°,DE∥BC.求:
(1)∠EDC的度数;
(2)∠B的度数.