题目内容
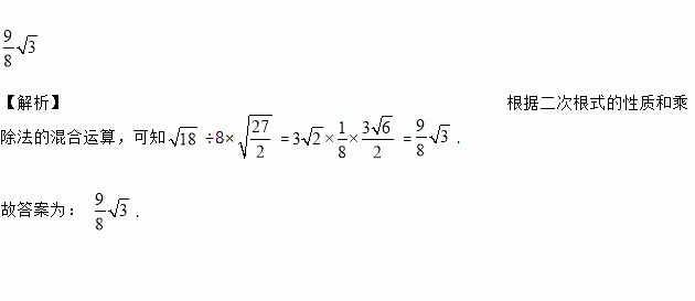
计算÷8×=_________.
如图,一段河坝的断面为梯形ABCD,试根据图中数据,求出坡角和坝底宽AD.(结果保留根号)
某社区准备开展消防安全知识宣传活动,需确定两名宣传员,现有四张完全相同的卡片,上面分别标有两名女工作人员的代码、和两名男工作人员、,把卡片背面朝上洗匀,从中随机抽取两张,请用列表或画树状图的方法求卡片上的代码代表一男一女的概率.
如图,有两条公路OM、ON相交成30°角,沿公路OM方向离O点80米处有一所学校A.当重型运输卡车P沿道路ON方向行驶时,在以P为圆心50米长为半径的圆形区域内都会受到卡车噪声的影响,且卡车P与学校A的距离越近噪声影响越大.若一直重型运输卡车P沿道路ON方向行驶的速度为18千米/时.
(1)求对学校A的噪声影响最大时卡车P与学校A的距离;
(2)求卡车P沿道路ON方向行驶一次给学校A带来噪声影响的时间.
计算(1)()-1+(1+)(1-)-;
(2)(2016﹣)0+|3﹣|﹣;
(3);
(4)9.
一艘轮船以16海里∕小时的速度从港口A出发向东北方向航行,另一轮船12海里∕小时从港口A出发向东南方向航行,离开港口3小时后,两船相距( )
A. 36海里 B. 60海里 C. 84海里 D. 48海里
已知m=1+,n=1-,则代数式的值为( )
A.9 B.±3
C.3 D.5
下列计算正确的是( )
A. m3﹣m2=m B. m3﹣m2=m5 C. (m+n)2=m2+n2 D. (m3)2=m6
如图,直线CD∥BF,直线AB与CD、EF分别相交于点M、N,若∠1=30°,则∠2= .