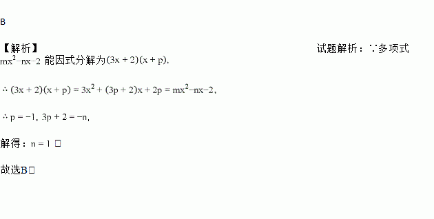
题目内容
如果多项式mx2﹣nx﹣2能因式分解为(3x+2)(x+p),那么下列结论正确的是( )
A. m=6 B. n=1 C. p=﹣2 D. mnp=3
三种不同类型的长方形地砖长宽如图所示,现有A类1块,B类4块,C类5块. 小明在用这些地砖拼成一个正方形时,多出其中1块地砖,那么小明拼成正方形的边长是( )
A. m+n B. 2m+2n C. 2m+n D. m+2n
设函数y=x+5与y=的图象的两个交点的横坐标为a、b,则的值是 .
(1)分解因式:(3x﹣2)2﹣(2x+7)2
(2)8ab﹣8b2﹣2a2
(3)化简:(3x+1)(3x﹣3)﹣(6x﹣5)(x﹣4)
(4)计算:.
化简:的结果是_____.
计算2x3÷的结果是( )
A. 2x2 B. 2x4 C. 2x D. 4
为了保证婴幼儿的饮食安全,质检部门准备对某品牌罐装牛奶进行检测,这种检测适合用的调查方式是_______________(填“全面调查”或“抽样调查”)
先化简,后求值:[(2xy﹣1)(1﹣2xy)+1]÷4xy,其中x=1,y=3.
已知正六边形ABCDEF,如图所示,其外接圆的半径是a,求正六边形的周长和面积.