题目内容

如图,将直线y=4x沿y轴向下平移后,得到的直线与x轴交于点A(,0),与双曲线y=(x>0)交于点B。
(1)求直线AB的解析式;
(2)若点B的纵坐标为m,求k的值(用含有m的式子表示)。
解:(1)将直线y=4x沿y轴向下平移后经过x轴上点A(,0),
设直线AB的解析式为y=4x+b,
则4×+b=0,
解得b=-9,
∴直线AB的解析式为y=4x-9;
(2)设点B的坐标为(xB,m),
∵直线AB经过点B,
∴m=4xB-9,
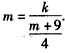
∴xB=
∴B点的坐标为(,m),
∵点B在双曲线y=(x>0)上

∴k=
练习册系列答案
相关题目

违法和不良信息举报电话:027-86699610 举报邮箱:58377363@163.com

精英家教网