题目内容
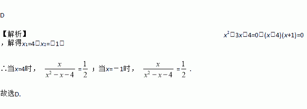
已知x2﹣3x﹣4=0,则代数式的值是( )
A. 3 B. 2 C. D.
在平行四边形ABCD中,下列结论一定正确的是( )
A. AC⊥BD B. ∠A+∠B=180°
C. AB=AD D. ∠A+∠C=180°
不等式-4≤x<2的所有整数解的和是( )
A. -4 B. -6 C. -8 D. -9
当a=,b=时,代数式的值是______.
若,则的值为___________.
用换元法解分式方程时,如果设,将原方程化为关于的整式方程,那么这个整式方程是( )
A. B. C. D.
如图,在△ABC中,AD⊥BC,BE⊥AC,AD=BD,求证:BF=AC。
如图,△ABC为等边三角形,∠BAD=∠ACF=∠CBE,求∠DEC的度数。
如图1,在等腰梯形ABCD中,AD//BC,E是AB的中点,过点E作EF//BC交CD于点F,AB=4,BC=6,∠B=60°.
(1)求点E到BC的距离;
(2)点P为线段EF上的一个动点,过点P作PM⊥EF交BC于M,过M作MN//AB交折线ADC于N,连结PN,设EP=x.
①当点N在线段AD上时(如图2),△PMN的形状是否发生改变?若不变,求出△PMN的周长;若改变,请说明理由;
②当点N在线段DC上时(如图3),是否存在点P,使△PMN为等腰三角形?若存在,请求出所有满足条件的x的值;若不存在,请说明理由.
图1 图2 图3