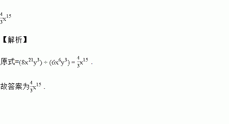
题目内容
计算:
______.
练习册系列答案
相关题目
在一次数学测试中,某小组五名同学的成绩(单位:分)如下表(有两个数据被遮盖).
组员 | 甲 | 乙 | 丙 | 丁 | 戊 | 方差 | 平均成绩 |
得分 | 81 | 79 | ■ | 80 | 82 | ■ | 80 |
那么被遮盖的两个数据依次是( )
A. 80,2 B. 80,10 C. 78,2 D. 78,10
“微信发红包”是最近兴起的一种娱乐方式,为了了解所在单位员工春节期间使用微信发红包的情况,小明随机调查了16名同事平均每个红包发的钱数,结果如下表
平均每个红包发的钱数 | 2 | 5 | 10 | 15 | 20 |
发红包的人数 | 2 | 5 | 5 | 2 | 2 |
则此次调查中平均每个红包发的钱数的众数为![]()
![]()
A. 2元 B. 5元 C. 10元 D. 5元和10元